Seaborn Diagnostics#

Overview#

These recipes showcase the use of the Seaborn diagnostic that provides a high-level interface to Seaborn for ESMValTool recipes.

Available recipes and diagnostics#

Recipes are stored in recipes/

  • recipe_seaborn.yml

Diagnostics are stored in diag_scripts/

Variables#

Arbitrary variables are supported.

Observations and reformat scripts#

Arbitrary datasets are supported.

References#

  • Waskom, M. L. (2021), seaborn: statistical data visualization, Journal of Open Source Software, 6(60), 3021, doi:10.21105/joss.03021.

Example plots#

../_images/ta_vs_lat.jpg

Fig. 126 Monthly and zonal mean temperatures vs. latitude in the period 1991-2014 for two Earth system models (CESM2-WACCM and GFDL-ESM4). Colors visualize the corresponding pressure levels.#

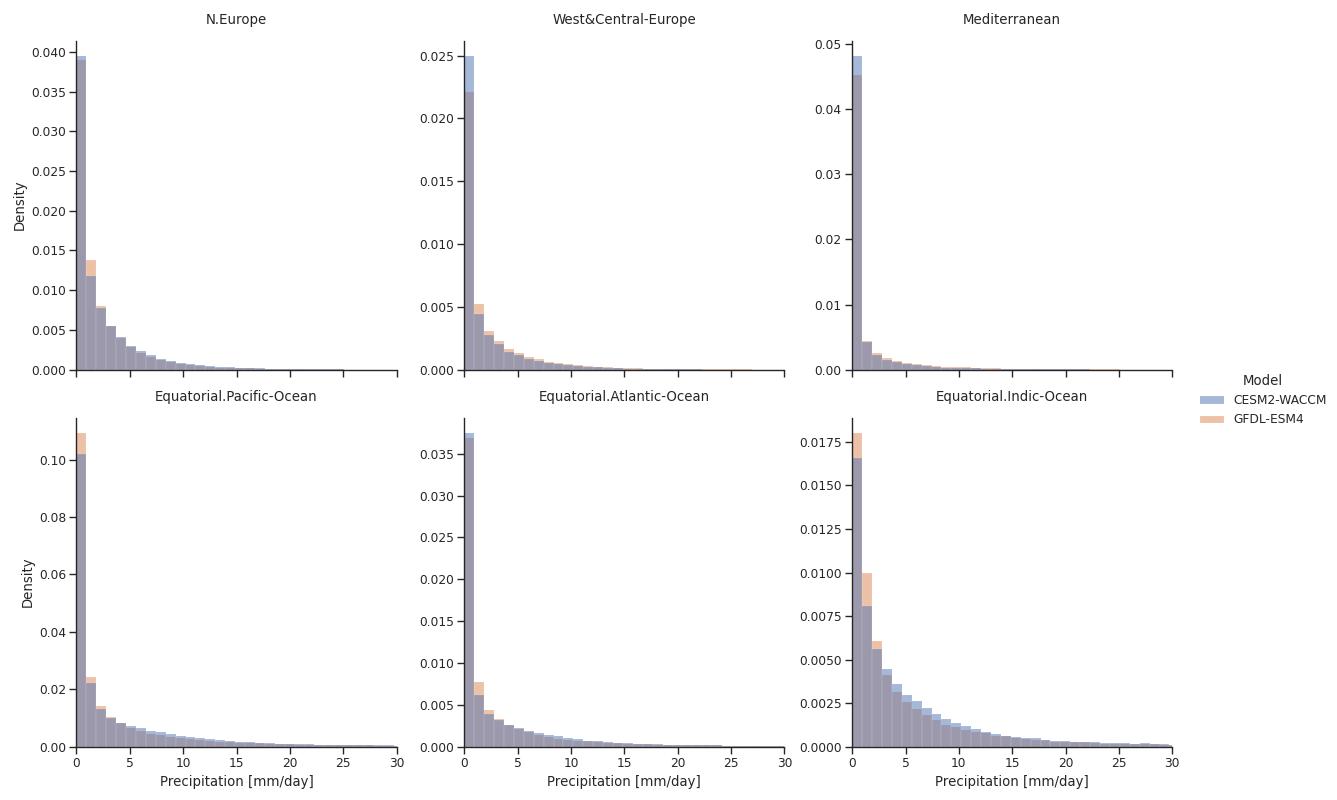
../_images/regional_pr_hists.jpg

Fig. 127 Spatiotemporal distribution of daily precipitation in the period 2005-2014 for six IPCC AR6 regions simulated by two Earth system models (CESM2-WACCM and GFDL-ESM4). Each day in each grid cell in the corresponding regions is considered with equal weight.#